DURATION: 1 HOUR ( like our facebook page exam-corner zambia)
Instructions to candidates
solve on a separate paper
write the FINAL answers ONLY in the spaces provided
![]()
Quiz Summary
0 of 18 Questions completed
Questions:
Information
You have already completed the quiz before. Hence you can not start it again.
Quiz is loading…
You must sign in or sign up to start the quiz.
You must first complete the following:
Results
Results
0 of 18 Questions answered correctly
Your time:
Time has elapsed
You have reached 0 of 0 point(s), (0)
Earned Point(s): 0 of 0, (0)
0 Essay(s) Pending (Possible Point(s): 0)
| Average score |
|
| Your score |
|
Categories
- Not categorized 0%
- 1
- 2
- 3
- 4
- 5
- 6
- 7
- 8
- 9
- 10
- 11
- 12
- 13
- 14
- 15
- 16
- 17
- 18
- Current
- Review
- Answered
- Correct
- Incorrect
-
Question 1 of 18
1. Question
Evaluate
CorrectIncorrect -
-
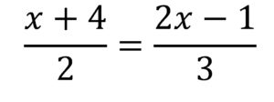
Question 2 of 18
2. Question
Solve the equation
-
x =
CorrectIncorrect -
-
Question 3 of 18
3. Question
Simplify
CorrectIncorrect -
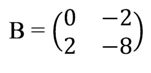
Question 4 of 18
4. Question
Given that
, find
(i) The determinant of B [1]
(ii) B2 [2]
-
the determinant of B =
B2 = ( ) ( )
( ) ( )
CorrectIncorrect -
-
Question 5 of 18
5. Question
Express K 75.00 as a percentage of K 50.00
CorrectIncorrect -
Question 6 of 18
6. Question
solve the equation m2 – m – 5 = 0, giving your answer correct to two decimal places
-
b2 – 4ac =
the smaller value of x =
the bigger value of x =
Correct 4 / 4 PointsIncorrect / 4 Points -
-
Question 7 of 18
7. Question
In the diagram below, PAQ is a tangent to the circle at point A. AC bisects BCD, ABC = 81o and PAB = 30o

Calculate
ACB [1]
ADC [1]
DAQ [1]
CAQ [2]
-
ACB = degrees
ADC = degrees
DAQ = degrees
CAQ = degrees
Correct 5 / 5 PointsIncorrect / 5 Points -
-
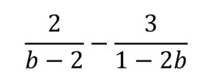
Question 8 of 18
8. Question
Express the expression below as a single fraction in its simplest form. write the numerator as the solution.

-
The numerator =
CorrectIncorrect -
-
Question 9 of 18
9. Question
In the diagram below, OAB is a triangle in which OA = a and OB = b. the point X on AB is such that AX: XB = 3: 1.

Express in terms of a and/or b
BO [1]
AB [1]
AX [2]
-
The vector BO =
The vector AB =
The vector AX =
Correct 4 / 4 PointsIncorrect / 4 Points -
-
Question 10 of 18
10. Question
In the diagram below, OAB is a triangle in which OA = a and OB = b. the point X on AB is such that AX: XB = 3: 1.

Express in terms of a and/or b
OX [2]
CorrectIncorrect -
Question 11 of 18
11. Question
At gender technical secondary school, a group of 70 girls take optional subjects as illustrated in the Venn diagram below.

- Calculate the value of x.
- Find the number of girls who
a) History only
b) Commerce
-
- x =
- (a) = (b) =
Correct 4 / 4 PointsIncorrect / 4 Points -
Question 12 of 18
12. Question
A box has 14 identical balls, three of which are blue. Two balls are drawn at random from the box, one after the other without replacement.
Calculate the probability that (expressing your answer as a fraction)
a) the two balls are both blue
b) at least one ball drawn is blue.
-
(a) =
(b) =
Correct 5 / 5 PointsIncorrect / 5 Points -
-
Question 13 of 18
13. Question
The diagram below shows a triangular garden OAB where OA = 1.7m, AB = 1.1m and angle OAB = 114o

Calculate
a) The area of triangle OAB correct to 1 decimal place,
b) The distance OB
c) the shortest distance from A to OB
-
a) Area = square meters
b) OB = meters
c) Shortest distance = meters
Correct 10 / 10 PointsIncorrect / 10 Points -
-
Question 14 of 18
14. Question
A rectangular maize field has a length of 1.5km and a width of 1.1km. Calculate the length of its diagonal.
-
Diagonal = km
CorrectIncorrect -
-
Question 15 of 18
15. Question
Mofu, Kopa and Nora are partners in business. Mofu owns 50% of the shares while Kopa and Nora own the remaining shares equally. Given that Mofu’s shares are valued at K 1 800.00,
a) Calculate the sum of all the shares,
b) Express the shares of Mofu, Kopa and Nora as a ratio in its simplest form
-
a) = kwacha
b) =
CorrectIncorrect -
-
Question 16 of 18
16. Question
Chakudya has a food warmer made up of a cylindrical bowl and a conical lid, as shown in the diagram below. The bowl has a height of 20cm and a diameter of 32cm. the height of the lid is 5cm.

Taking π = 3.142, calculate
a) The surface area of the cylindrical bowl, [4]
b) The volume of the lid (volume of cone = 1/3 πr2h)
-
a) Surface Area = square cm
b) Volume = correct to 3 significant figures
Correct 6 / 6 PointsIncorrect / 6 Points -
-
Question 17 of 18
17. Question
Evaluate
CorrectIncorrect -
-
Question 18 of 18
18. Question
Factorise complete 2x2 – 3x + 2cx – 3c
CorrectIncorrect